赣州麦丹油城改建二级加油站建设项目
发布时间:2020-07-20
|
安全评价单位名称 |
赣州麦丹油城 |
||
|
项目名称: |
改建二级加油站建设项目安全验收评价报告 |
||
|
简 介: |
|||
|
安全评价项目组长: |
李永辉 |
||
|
技术负责人: |
马 程 |
||
|
过程控制负责人: |
檀廷斌 |
||
|
评价报告编制人: |
李永辉 |
||
|
报告审核人: |
林大建 |
||
|
参与评价工作的安全评价师: |
陈 浩 |
||
|
注册安全工程师: |
刘志强、李永辉 |
||
|
技术专家: |
刘志强,化工工艺工程师 |
||
|
到现场开展安全评价工作的人员名单: |
刘志强 |
||
|
时间和主要任务: |
完成时间:2020年7月20日;
主要任务:安全验收评价报告; |
||
|
评价报告: |
|||
|
一、评价对象及范围:
赣州麦丹油城二级加油站改建工程项目的主体装置和辅助设施,包括经营过程中的危险和危害因素控制措施和工艺、设备设施的安全可靠性以及安全管理方面的组织、机构、人员、防护设施、作业环境及管理制度等安全经营条件的符合性评价。未完成的汽车服务中心不在评价范围内。具体范围如下:
1.2层站房1栋及加油罩棚
二、项目基本情况:
建设项目名称:赣州麦丹油城改造项目(二级加油站)。
建设单位:赣州麦丹油城
投资单位:赣州麦丹油城
法人代表:刘晓燕
项目地址:江西省赣州市经济技术开发区杨梅村香江大道南侧
储存规模:设0#柴油储罐2台,每台储罐容积为35m3、92#汽油储罐1台,储罐容积为35m3、95#汽油储罐1台,储罐为35m3,98#汽油储罐1台,储罐为35m3。总容量175m3,折合汽油为140m3,按国家现行《汽车加油与加气站设计与施工规范》对加油站的等级划分计算,该站属二级加油站。
加油能力:加油站设2排加油岛,4台多油品6枪加油机,2台多油品8枪加油机。
劳动就业:劳动定员8人(其中站长1人,副站长兼安全员1人,加油员6人)。
建设内容:项目占地面积近2167.87㎡,油罐区210㎡,设2台35m³的0#柴油卧式SF油罐、1台35m³的92#汽油卧式SF油罐、1台35m³95#的汽油卧式SF罐,1台35m³98#的汽油卧式SF罐;加油区网架540㎡,设4台6枪加油机,2台8枪加油机;二层站房,占地面积186㎡,建筑面积372㎡。汽车服务中心(非动火作业场所)五层,占面积为287.72㎡,建筑面积为1481㎡。
该加油站规划用地面积约为2167.87m2,用地呈五边形,其位置与香江大道平行,面向北面,其北面总长约68.3m,东面边长约29m,南面边长约59.0m,西南边长为35.3m,西面长约32.7m(呈五段折线,包括退让线)。
该加油站处经开区香江大道南侧,加油站的出入口设在香江大道;加油站东面围墙外为空地,菜地,空地处为城市规划预留地;南面为空地和菜地,属于城市规划用地,西面围墙外也是空地。站区500m范围内无学校、医院等重要公共建筑,不会受洪涝、泥石流等自然灾害影响,是较理想的加油站建设场地。(具体参见附件——总平面布置图)。
卸油工艺:油罐车行驶至加油站内密封卸油口停车处,利用油罐车与地下储油罐的高位差,采用密闭式卸油。采用油气回收系统,在油罐车卸油过程中,将原来储油罐内散溢的油气,通过油气回收地下工艺管线及卸车软管重新收集至油罐车内,实现卸油与油气等体积置换。其工艺流程如下图:
卸油油气
卸油工艺流程图
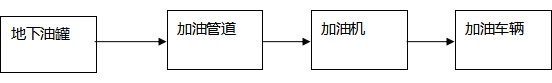
加油工艺:加油作业时,采用潜油泵提供的动力,油品通过加油管道至加油机,进入受油容器。同时,加汽油作业时,有油气回收回收系统,汽油蒸汽通过油气回收管道回至汽油罐。具体流程见下图:
柴油加油工艺流程图
汽油加油工艺流程图
三、评价结论 |
|||
|
提交时间: |
2020年7月20日 |
||
|
现场影像资料 |
|||






